近日,2026世界杯指定网站现代物理研究所何院耀教授与合作者基于数值严格的量子蒙特卡洛模拟,在三维费米-哈伯德模型中,通过研究熵增效应与局域电荷密度无序对其反铁磁性质的影响,澄清了该模型在光晶格实验测量与理论计算之间存在的重要分歧。这个工作弥合了近期实验与前沿量子多体计算之间的差距,并建立了一种光晶格实验与理论计算之间进行基准对比的新范式。该研究成果以“Thermal Entropy, Density Disorder, and Antiferromagnetism of Repulsive Fermions in 3D Optical Lattice”为题发表在国产期刊Chinese Physics Letters(CPL)上。何院耀教授为论文第一通讯作者,中国科学技术大学邓友金教授为共同通讯作者。该工作得到了国家自然科学基金委“彭桓武高能基础理论中心”项目、国家自然科学基金项目、2030科技创新重大项目、福建省自然科学基金项目以及陕西省青年创新团队的支持。

原文链接:https://iopscience.iop.org/article/10.1088/0256-307X/42/11/110710
费米-哈伯德模型是研究强关联电子体系的“标准”模型。近年来,理论和多体数值计算在该模型的超导/超流、反铁磁、条纹序、赝能隙、奇异金属和d波超导等新奇物理性质上取得了重要进展。在实验研究方面,结合超冷原子的光晶格量子模拟,已经逐渐成为研究哈伯德模型的重要范式。
2024年7月,中国科学技术大学研究团队首次在三维超冷原子光晶格体系观测到费米-哈伯德模型中的反铁磁相变[Shao et al., Nature 632, 267 (2024)],并迅速引起广泛关注。实验结果表明,随着相互作用强度U的增强,该体系的反铁磁结构因子在U/t≃11.75附近达到最大值。然而,最新的无偏差多体数值计算[Phys. Rev. Lett. 134, 016503 (2025); Phys. Rev. B 111, 035123 (2025)]指出,在实验所涉及的温度区间内,反铁磁结构因子最大值出现在U/t=8.0~8.5附近,与实验观测结果存在显著偏差。因此,厘清实验与理论计算之间的分歧,并在此基础上进一步推进二者的定量对比研究,成为亟需解决的重要问题。
在这项最新的研究中[Chinese Phys. Lett. 42, 110710 (2025)],研究团队提出,光晶格实验中伴随着增强相互作用的熵增效应以及光晶格中的局域电荷密度无序是上述分歧产生的主要原因。研究团队通过在量子蒙特卡洛模拟中加入这两个现实因素,发现二者的叠加效应确实可以定量地解释上述实验与理论计算之间的偏差。

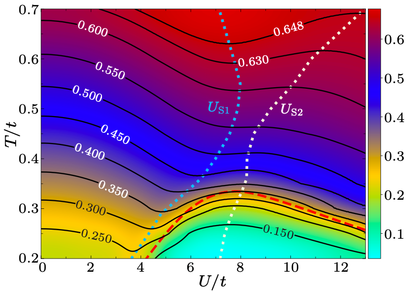
图1: 三维哈伯德模型在半满填充下、U-T平面上的熵相图。黑色线条为等熵线,相应数字为熵密度的数值。
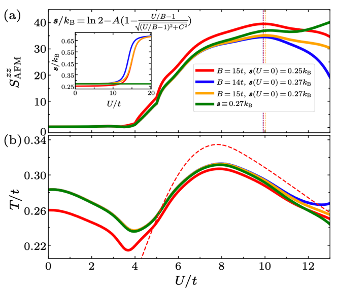
为系统考虑热力学熵增效应,研究团队首先计算了三维哈伯德模型在半满填充下的完整熵相图(图1),并解释了U-T平面上(T为体系的温度)等熵线的非单调行为及其背后的物理机制。在此基础上,随着相互作用强度U的增强,研究团队在熵相图上选取一些最有可能与实际光晶格实验相符的熵增路径,并计算这些路径上的反铁磁结构因子。研究团队发现,在研究团队选取的熵增路径上,反铁磁结构因子在U/t~10附近达到最大值(图2),显著大于之前固定温度的计算结果(U/t=8.0~8.5附近)。

图2: 在U-T平面内特定的熵增路径(子图(a)中的公式)上,反铁磁结构因子和体系温度的计算结果。
此外,研究团队通过在模拟中加入高斯型的局域电荷密度无序,对比了均匀体系与无序体系的计算结果,发现反铁磁结构因子的峰值位置确实向更大的U值偏移(图3);且随着无序性越强和温度降低,偏移量越大。在高斯型无序的标准差等于跃迁参数时,峰值位置右移约为1t。

图3: 在均匀和无序体系中,反铁磁结构因子随U值增大的计算结果。
根据研究团队的计算结果,综合考虑上述熵增效应和密度无序因素的影响,反铁磁结构因子的峰值位置会向右偏移3t左右,达到U/t=11.0~11.5,从而与实验结果在定量上能较好地符合。
这项研究工作弥合了近期实验与前沿量子多体计算之间的差距,并建立了一种光晶格实验与理论计算之间进行基准对比的新范式,对后续二者的定量对比研究有重要意义。