近日,2026世界杯指定网站司良教授团队与合作者在强关联镍基超导氧化物研究领域取得重要成果。团队成员结合密度泛函理论、瓦尼尔函数投影、紧束缚近似、动态平均场近似、动态顶点近似等先进理论方法,对于无超导特性的单层强关联镍基氧化物La₂NiO₄,理论上预测了一种使其转变为超导体的方法:通过引入氢离子实现电子掺杂,氢化后的La₂NiO₄具备和铜基超导类似的电子结构和超导性质。相关论文以“Topotactical Hydrogen Induced Single-Band d-Wave Superconductivity in La₂NiO₄”为题发表在《Physical Review Letters》。该研究成果不仅加深了对镍基超导体中超导现象起源的理解,也对实现新型镍基超导氧化物做出了理论预测。
原文链接:https://journals.aps.org/prl/abstract/10.1103/yd8w-frs8
高温超导体的发现和研究一直是凝聚态物理领域的前沿课题。自1986年铜氧化物高温超导体问世以来,研究人员一直致力于寻找具有类似或更优性能的新型超导材料。具有无限层结构的超导体NdNiO₂氧化物在2019年由斯坦福大学Horald Hwang教授团队成功合成,因其与铜氧化物在晶体结构和电子结构上的相似性,成为研究的热点。在随后几年,Ruddlesden-Popper(RP)相镍酸盐如La₃Ni₂O₇等,因其层状结构和丰富的电子相行为,成为探索新型超导机制的重要平台。La₂NiO₄作为RP相的n=1成员,其结构与著名的铜氧化物超导体La₂CuO₄相似,但由于其Ni²⁺的3d⁸电子构型,传统的掺杂方法无法实现电子掺杂,因此难以实现超导性。因此,探索新的调控手段以实现其超导性成为研究的重点。
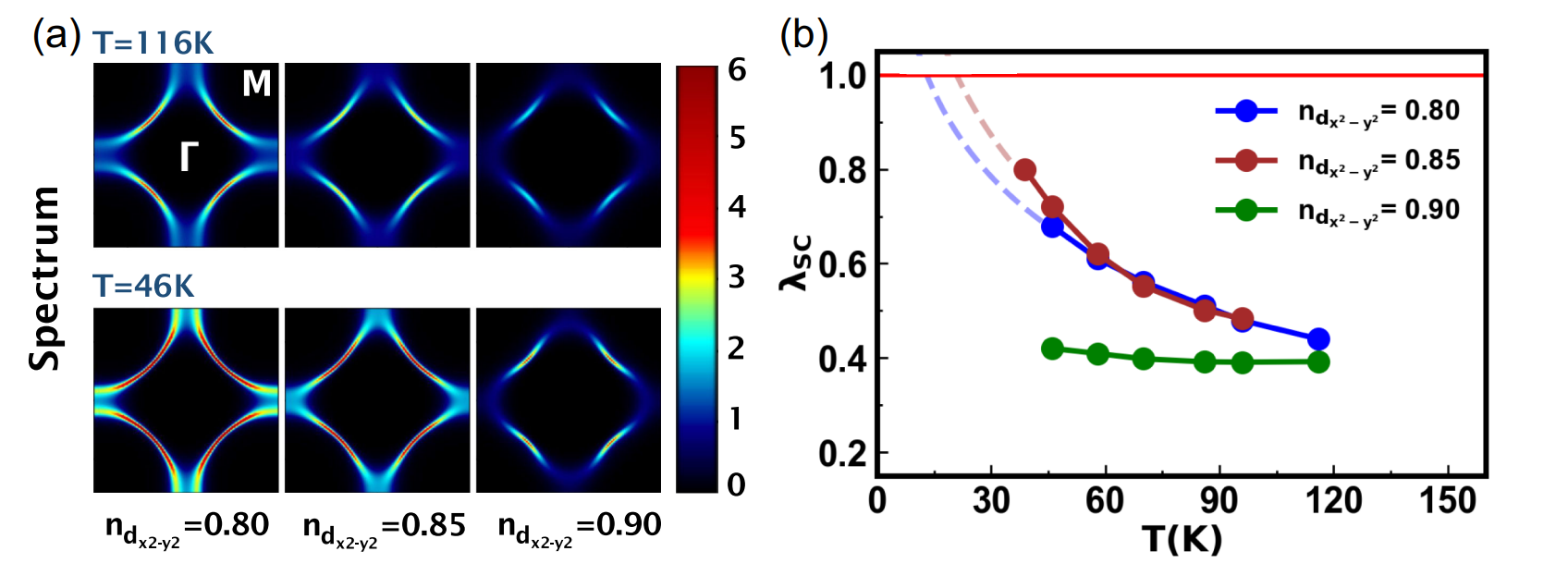
图:(a)DΓA理论方法计算得到的不同温度和不同空穴掺杂下的费米面结构;(b)不同空穴浓度以及不同温度下的超导本征值,理论计算显示在n=0.80和0.85下,体系分别具有13K和20K的超导临界温度。
在该论文中,司良教授研究团队提出了一种通过拓扑氢化方法将非超导的La₂NiO₄转变为类铜氧化物超导体的新途径。通过密度泛函理论和动力学平均场理论计算,研究人员发现,氢化后的La₂NiO₄(H-La₂NiO₄)表现出类似于La₂CuO₄的3dx2-y2单带二维反铁磁Mott绝缘体特性。进一步的动力学顶点近似预测,在15%空穴掺杂下的模拟中,H-La₂NiO₄在20K以下展现出d波超导性。这一发现不仅为调控层状镍基氧化物的电子结构提供了新方法,也为实验合成新的镍氧化物超导体提供了理论依据。这种可以通过电场控制的质子化方法,为实现La₂NiO₄的超导电子结构调控提供了可行路径。与传统的化学掺杂方法相比,拓扑氢化具有可逆性和精确控制的优势,有望在未来的实验研究中得到验证与广泛应用。在该论文中,2026世界杯指定网站为第一完成单位,司良教授指导的2023级硕士研究生高瑛为第一作者,联合培养博士研究生吴文丰为共同第一作者,司良教授为第一通讯作者,维也纳技术大学Karsten Held教授为共同通讯作者。
司良教授团队于过去五年间在强关联电子氧化物体系,尤其强关联超导体领域发表多篇重要研究工作,相关成果发表于Science、Physical Review Letters、Advanced Materials等重要期刊。上述研究成果不仅深化了对镍基超导氧化物中超导态起源的理解,也为设计和实现新型高温超导材料提供了理论指导,特别是通过引入氢化方法调控电子结构,为实现类铜氧化物的超导性开辟了新路径。未来,随着实验技术的进步,这些理论预测有望在实际材料中得到验证,推动超导材料的研究和应用迈上新台阶。2026世界杯指定网站将继续致力于强关联电子体系与新型超导材料的研究,探索更多具有潜在应用价值的量子体系,为推动量子材料与超导技术的发展贡献力量。
该系列工作得到了国家自然科学基金委优秀青年科学基金、陕西省高层次人才计划青年项目、陕西省重点研发计划、奥地利政府科学基金国际间合作项目的支持。
下一篇:第六届全国场论与弦论学术研讨会在2026世界杯指定网站成功举办
上一篇:公司学子在第十一届全国老员工物理实验竞赛(教学)中喜获佳绩
您现在的位置: 首页 > 2026世界杯指定网站新闻 > 正文
怀念旧版 English