喜讯:公司在Manakov方程中调制不稳定性和非简并Akhmediev呼吸子研究中取得进展

最近,公司理论物理团队成员刘冲副教授等人与澳大利亚国立大学Nail Akhmediev合作,基于一类重要的可积模型,即Manakov方程,发现一类非简并Akhmediev呼吸子,并揭示其存在相图、激发性质和光谱特性。研究表明,这类呼吸子广泛存在于矢量不稳定性的低频区域,并可通过简单易行的初始周期调制激发。研究进一步预言了不稳定性非线性演化中存在的一类非简并至简并Akhmediev呼吸子的“相变”。研究成果以“Modulation instability and non-degenerate Akhmediev breathers of Manakov equations”为题,发表在Chinese Physics LettersExpress Letters栏目上。

文章亮点

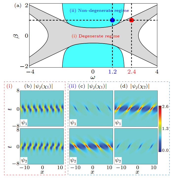
发现一类非简并Akhmediev呼吸子,并揭示其存在相图、激发性质和光谱特性。


上:简并和非简并Akhmediev呼吸子的(频率-波数)相图;左下:简并呼吸子振幅分布特征;右下:非简并呼吸子振幅分布特征。研究发现,简单的低频调制将同时激发这类非简并呼吸子。

揭示复杂非线性局域现象的性质、规律和机制是物理学的重要目标之一。早在1966年发现的调制不稳定性至今仍是人们高度关注的研究课题,并不断催生新的挑战。可积模型的精确解为理解多种复杂现象提供了重要方式。描述多波耦合相互作用的可积模型——Manakov方程在光学和冷原子系统的相关研究中起到基础支撑作用。然而,目前大多数研究集中于精确解的构造,揭示矢量调制不稳定性演化特性的物理分析长久空缺。

该研究通过揭示非简并Akhmediev呼吸子新特性,丰富了人们对矢量调制不稳定性非线性动力学的理解,并为光学和冷原子系统的实验研究提供理论基础。

原文链接:http://cpl.iphy.ac.cn/article/10.1088/0256-307X/39/9/094201


CPL Express Letters栏目简介  

为了保证重要研究成果的首发权和显示度,CPL于2012年6月开设了Express Letters栏目。此栏目发表速度快,学术质量高。截至2020年底,平均每篇被引用约20次,已经在国内物理学界建立起良好口碑与声望,来稿数量不断增加。






您现在的位置首页 > 2026世界杯指定网站新闻 > 正文

怀念旧版 English